实验上发现,在弹性限度范围内,应力大时,应变也大;应力小时,应变也小。人们根据长期的生产实践,总结了这个规律,称为弹性定律或广义胡克定律,即“在弹性限度范围内,物体内任意一点的应变分量与该点应力分量之间存在线性关系”。对于完全各向异性体(如三斜晶系),弹性定律的数学表示式为:
或简写成
式中系数S称为弹性柔顺常数,并有Sij=Sji(i≠j),由式(2.2.8)可以看出不仅正应力能产生正应变,而且切应力也能产生正应变;同样,不仅切应力能产生切应变,而且正应力也能产生切应变。这就是说,在一般情况下,应变与应力之间的关系是比较复杂的。
式(2.28)还可写成矩阵形式,即:
或简写成:
T=Cs???????????????????????????????????????????????????? (2.2.13)
式中系数c称为弹性刚度常数;c代表弹性弹性刚度常数矩阵。
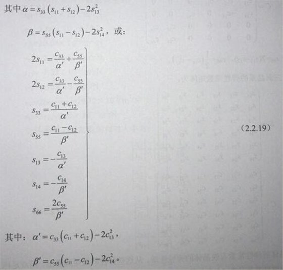
根据晶体的对称性,可以得到石英晶体的弹性定律表示式为








NDK晶振,石英晶体谐振器,NX5032SD晶振
NDK晶振,石英晶振,NX3225SA晶振
NDK晶振,石英晶振,NX2520SG晶振
NDK晶振,石英晶振,NX1612SA晶振


